# 环形链表
【题目链接】:环形链表
【题目描述】
给你一个链表的头节点 head ,判断链表中是否有环。
如果链表中有某个节点,可以通过连续跟踪 next 指针再次到达,则链表中存在环。 为了表示给定链表中的环,评测系统内部使用整数 pos 来表示链表尾连接到链表中的位置(索引从 0 开始)。注意: pos 不作为参数进行传递 。仅仅是为了标识链表的实际情况。
如果链表中存在环 ,则返回 true 。 否则,返回 false 。
【示例】
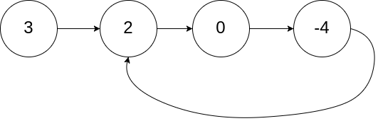
输入:head = [3,2,0,-4], pos = 1
输出:true
解释:链表中有一个环,其尾部连接到第二个节点。
# 哈希表
判定是否是个环的条件为某个结点的 next 指针是否指向已经遍历过的结点。因此可以使用哈希表存储已经访问过的节点,每当到达一个节点时,判断其是否在哈希表里面,如果在则证明存在环,如果不在就说明不存在。
1 | class Solution(object): |
【复杂度分析】
- 时间复杂度:,其中 是链表中的节点数。最坏情况下我们需要遍历每个节点一次。
- 空间复杂度:,其中 是链表中的节点数。主要为哈希表的开销,最坏情况下我们需要将每个节点插入到哈希表中一次。
# 双指针 (快慢指针)
每当慢指针 slow 前进一步,快指针 fast 就前进两步.
如果最终快慢指针相遇,则证明存在环。如果快指针遇到空指针,则不存在环。
1 | class Solution(object): |
【时间复杂度】
其中 是链表中的节点数。
- 当链表中不存在环时,快指针将先于慢指针到达链表尾部,链表中每个节点至多被访问两次。
- 当链表中存在环时,每一轮移动后,快慢指针的距离将减小一。而初始距离为环的长度,因此至多移动 轮。
【空间复杂度】
只使用了两个指针的额外空间。
# 环形链表 II
【题目链接】
环形链表
【题目描述】
给定一个链表的头节点 head ,返回链表开始入环的第一个节点。 如果链表无环,则返回 null 。
如果链表中有某个节点,可以通过连续跟踪 next 指针再次到达,则链表中存在环。 为了表示给定链表中的环,评测系统内部使用整数 pos 来表示链表尾连接到链表中的位置(索引从 0 开始)。如果 pos 是 -1 ,则在该链表中没有环。注意: pos 不作为参数进行传递,仅仅是为了标识链表的实际情况。
不允许修改 链表。
【示例】
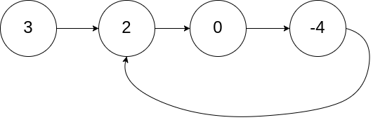
输入:head = [3,2,0,-4], pos = 1
输出:返回索引为 1 的链表节点
解释:链表中有一个环,其尾部连接到第二个节点。
# 哈希表
哈希表依旧是比较简单理解的方法,将访问过的节点存储到哈希表中,每当遍历的节点存在于哈希表中,则返回当前节点。如果访问到最后都不能在哈希表中找到节点,则证明无环,返回 None
1 | class Solution(object): |
# 双指针 (快慢指针)
# 随机链表的复制
随机链表的复制
【示例】
输入:head =
[[7,null],[13,0],[11,4],[10,2],[1,0]]
输出:[[7,null],[13,0],[11,4],[10,2],[1,0]]
# 哈希表
用哈希表存储新创建的节点,算法一共包括两个遍历,第一个遍历创建全新的节点,存储格式为 key=old_node,value=new_node 。第二个遍历为新节点建立关系信息,主要为 next 和 random 信息。
1 | class Solution(object): |